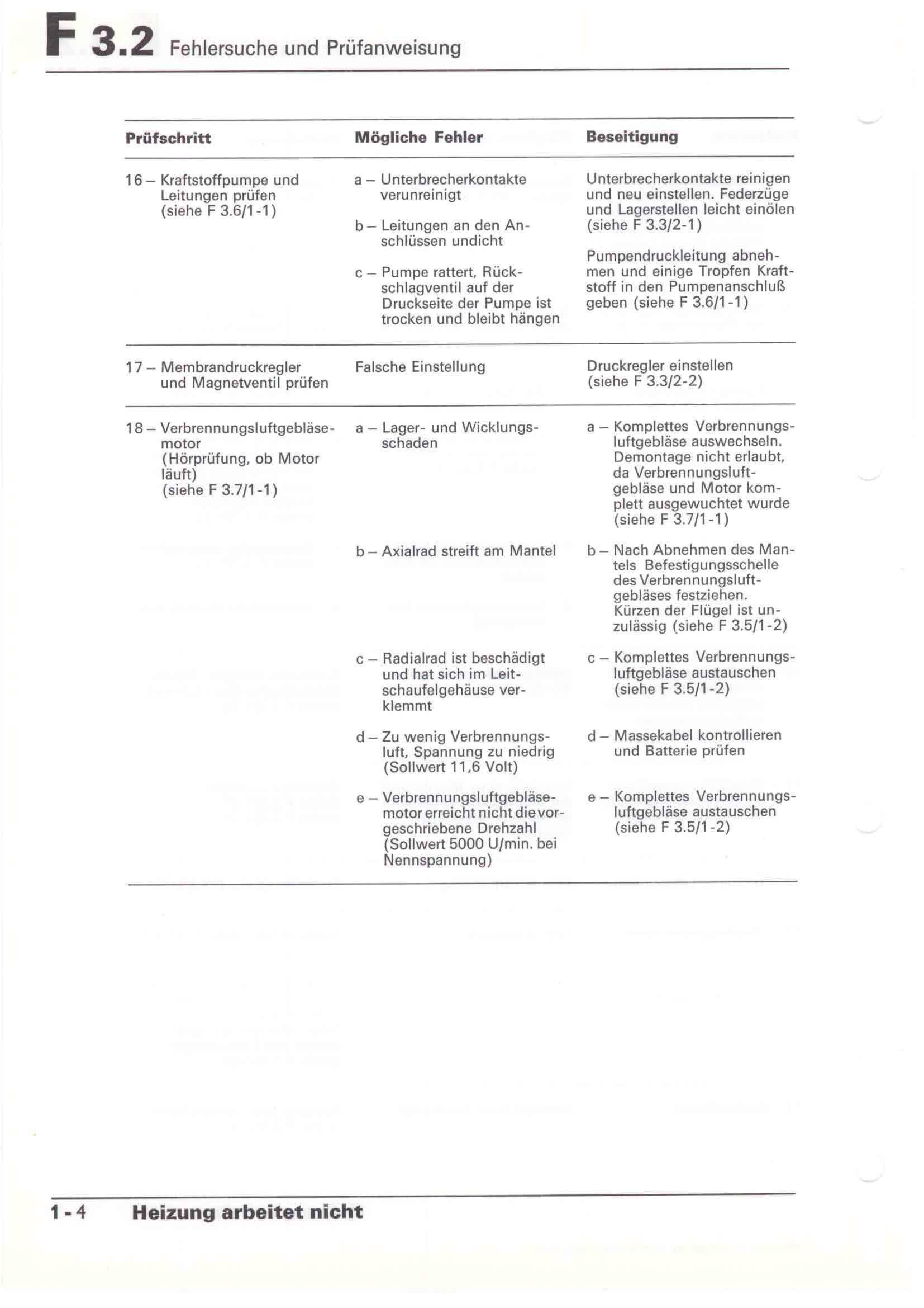
RLF F: F3.2/1-4



vorherige Seite